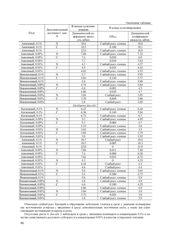
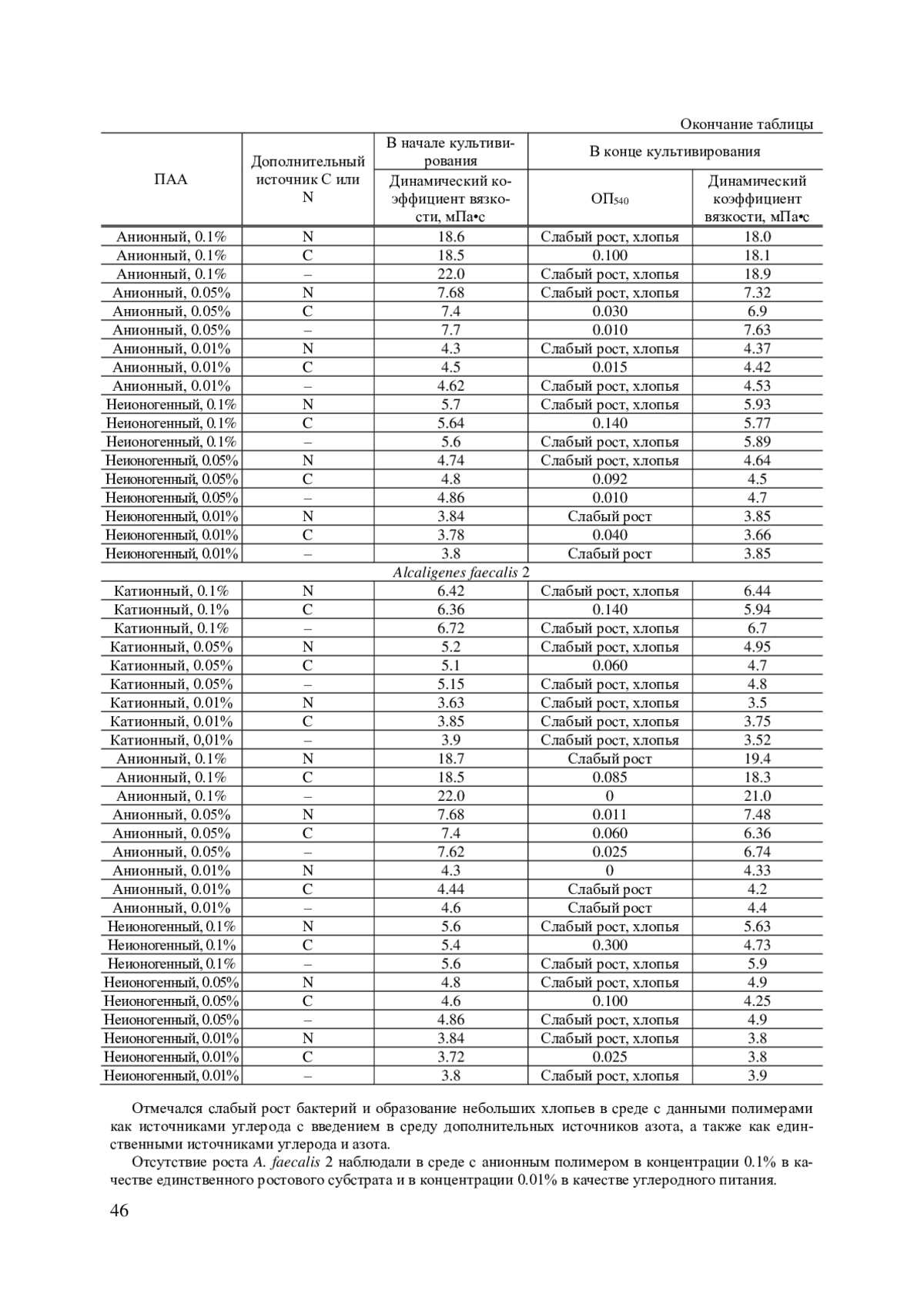
Изучена способность бактериальных штаммов Rhodococcus erythropolis ИЛ БИО и Alcaligenes faecalis 2, обладающих амидазной активностью, использовать линейные полиакриламиды (ПАА) марки Праестол 650 BC, 2540 и 2300 D в качестве источника углеродного или азотного питания. Определено, что штаммы бактерий использовали данные ПАА в концентрации 0.1, 0.05 и 0.01% в качестве источника азота для роста биомассы. При этом наибольший рост бактерий наблюдали на среде с ПАА Праестол 2300 D в концентрации 0.1%. Следует отметить, что не во всех случаях рост амидазосодержащих бактерий коррелировал со снижением вязкости полимера. Отсутствие роста A. faecalis 2 наблюдали на среде с анионным полимером в концентрации 0.1% в качестве единственного ростового субстрата и в концентрации 0.01% в качестве углеродного питания. Неионогенный и катионный ПАА подвергались более эффективной микробной деградации, чем анионный.
Идентификаторы и классификаторы
- SCI
- Биология
Полиакриламиды (ПАА) представляют собой группу полимеров с высокой молекулярной массой на основе акриламида и его производных. ПАА широко применяются в различных областях промышленности и деятельности человека: водоочистке, нефтеперерабатывающей, целлюлозно-бумажной, косметической, лакокрасочной и пищевой отраслях, сельском хозяйстве, добыче полезных ископаемых [Jiang et al., 2019; Uranta et al., 2019; Gaytán, Burelo, Loza-Tavera, 2021]. В большинстве случаев эти полимеры используют в качестве флокулянтов, которые способствуют эффективному разделению твердой и жидкой фаз в воде, содержащей взвешенные вещества [Wei et al., 2018; Akbar, Khan, Abid, 2022].
Список литературы
1. Демаков В.А. и др. Бактерии активного ила биологических очистных сооружений, трансформирующие цианопиридины и амиды пиридинкарбоновых кислот // Микробиология. 2015. Т. 84, № 3. С. 369-378. DOI: 10.7868/S0026365615030039 EDN: TQQVBB
2. Максимова Ю.Г., Горшкова А.А., Демаков В.А. Биодеградация полиакриламидов почвенной микрофлорой и штаммами амидазосодержащих бактерий // Вестник Пермского университета. Сер. Биология. 2017. Вып. 2. С. 200-204. EDN: ZCMLLX
3. Максимова Ю.Г. и др. Влияние немодифицированных многостенных углеродных нанотрубок на формирование и разрушение бактериальных биопленок // Микробиология. 2022. Т. 91, № 4. С. 507-516. DOI: 10.31857/S0026365621100694 EDN: PXWGDO
4. Akbar M., Khan M.F.S., Abid M. Novel insight into the degradation of polyacrylamide by thermophilic anaerobic digestion // Biochem. Engin. J. 2022. Vol. 189. Art. 108716. DOI: 10.1016/j.bej.2022.108716 EDN: MADWMY
5. Bedade D.K., Singhal R.S. Biodegradation of acrylamide by a novel isolate, Cupriavidus oxalaticus ICTDB921: Identification and characterization of the acrylamidase produced // Bioresource Technol. 2018. Vol. 261. P. 122-132. DOI: 10.1016/j.biortech.2018.04.012 EDN: VFABUZ
6. Caulfield M.J. et al. Degradation on polyacrylamides. Part I. Linear polyacrylamide // Polymer. 2003. Vol. 44, № 5. P. 1331-1337. DOI: 10.1016/S0032-3861(03)00003-X EDN: BDQUJZ
7. Duda-Chodak A. et al. A review of the interactions between acrylamide, microorganisms and food components // Food Funct. 2016. Vol. 7, № 3. P. 1282-1295. DOI: 10.1039/c5fo01294e
8. Gaytán I., Burelo M., Loza-Tavera H. Current status on the biodegradability of acrylic polymers: microorganisms, enzymes and metabolic pathways involved // Appl. Microbiol. Biotechnol. 2021. Vol. 105. P. 991-1006. DOI: 10.1007/s00253-020-11073-1 EDN: ZDTKJJ
9. Gilbert W.J.R. et al. Enzymatic degradation of polyacrylamide in aqueous solution with peroxidase and H2O2 // J. Appl. Polym. Sci. 2017. Vol. 134, № 10. Art. 44560. DOI: 10.1002/app.44560 EDN: YWTRCP
10. Guezennec A.G. et al. Transfer and degradation of polyacrylamide based flocculants in hydrosystems: a review components // Environ. Sci. Pollut. Res. Int. 2015. Vol. 22. P. 6390-6406. DOI: 10.1007/s11356-014-3556-6 EDN: VEXGHX
11. Jiang C. et al. Neighboring group effect on the thermal degradation of polyacrylamide and its derivatives // J. of Polymer Engineering. 2019. Vol. 39, № 3. P. 239-247. DOI: 10.1515/polyeng-2018-0274 EDN: NNAESR
12. Joshi S.J., Abed R.M.M. Biodegradation of polyacrylamide and its derivatives // Environ. Process. 2017. Vol. 4. P. 463-476. DOI: 10.1007/s40710-017-0224-0 EDN: YENXQQ
13. Nyyssölä A., Ahlgren J. Microbial degradation of polyacrylamide and the deamination product polyacrylate // Inter. Biodeterioration and Biodegradation. 2019. Vol. 139. P. 24-33. DOI: 10.1016/j.ibiod.2019.02.005
14. Uranta K.G. et al. Application of polymer integration technique for enhancing polyacrylamide (PAM) performance in high temperature and high salinity reservoirs // Heliyon. 2019. Vol. 5, № 7. Art. e02113. DOI: 10.1016/j.heliyon.2019.e02113
15. Wei H. et al. Coagulation /flocculation in dewatering of sludge: a review // Water Research. 2018. Vol. 143. P. 608-631. DOI: 10.1016/j.watres.2018.07.029 EDN: YKRFRJ
Выпуск
Другие статьи выпуска
В ноябре 2024 г. скончалась профессор Пермского университета, доктор биологических наук Лидия Григорьевна Переведенцева. Ее жизнь была ярким примером преданности науке и педагогике.
Лидия Григорьевна родилась в пос. Новоильинский Нытвенского р-на Пермской обл. 27 декабря 1948 г. Там же в 1966 г. закончила среднюю школу № 7 с золотой медалью, поступила в Пермский государственный педагогический институт (факультет биологии и химии), в 1971 г. окончила его, получив диплом с отличием. Обучалась в очной аспирантуре в Институте экологии растений и животных УрО АН СССР (г. Свердловск, 1975–1978 гг.). В 1999 г. она получила степень доктора биологических наук по специальности 03.02.12 – микология в Московском государственном университете им. М. В. Ломоносова. Тема ее докторской диссертации – «Биота и экология агарикоидных базидиомицетов Пермской области».
С 1971 г. Лидия Григорьевна работала (с перерывом на период обучения в аспирантуре) ассистентом, старшим преподавателем, доцентом, профессором на кафедре ботаники Пермского государственного педагогического института, a в 2003 г. она стала профессором кафедры ботаники и генетики растений Пермского государственного университета.
Установлено, что бифенил и ПХБ 12 (3,4-дихлорбифенил) угнетали гуморальный иммунитет, снижая количество антителообразующих клеток в селезенке. После микробной деградации исследуемых соединений штаммом Rhodococcus ruber 25 в течение 7 и 14 сут метаболиты ПХБ 12 и бифенила продолжали оказывать угнетающее влияние на количество антителообразующих клеток. Смесь Р, представляющая собой смесь хлорированных и гидроксилированных производных бифенила, не влияла на гуморальный ответ, но стимулировала клеточноопосредованный ответ, этот эффект нивелировался после микробной деградации. Гистологические исследования показали, что бифенил, ПХБ 12 и смесь Р в печени приводили к развитию хронического гепатита с признаками жировой и очаговой гидропической (центролобулярной) дистрофии гепатоцитов. Имелась реакция со стороны сосудов в виде полнокровия с признаками гемолиза эритроцитов. Наблюдались явления периваскулярной лимфогистиоцитарной инфильтрации. Под воздействием метаболитов, образованных в процессе деградации исследуемых соединений штаммом R. ruber Р25 в течении 7-14 дней, в печени сохранялись дистрофические изменения в гепатоцитах (без некровоспалительной реакции), и развивались признаки репаративной регенерации.
Подведены итоги многолетнего мониторинга биоты эктомикоризных грибов в некоторых типах еловых лесов Пермского края. Исследования проводились стационарным методом на учетных площадях размером 50 × 20 м, заложенных по одной в исследуемых типах леса - ельнике приручьевом и ельнике кисличном. Работа осуществлялась в три периода: I - 1975-1977 гг., II - 1994-1996 гг., III - 2010-2012 гг. В каждый год наблюдений по 4 раза с интервалом в 10 дней собирались все плодовые тела грибов, учитывалось их число и воздушно-сухая биомасса. К настоящему времени выявлено от 80 (ельник кисличный) до 124 (ельник приручьевой) видов и внутривидовых таксонов эктомикоризных грибов. Большинство выявленных видов относится к семействвам Cortinariaceae, Russulaceae и Tricholomataceae, что характерно для бореальной зоны. Наибольшее число выявленных видов (72.6-75.0%) обнаруживалось от 2 до 9 раз, а 2-3% из них были постоянными, встречались ежегодно. Отмечена относительная стабильность видового состава сосудистых растений (коэффициенты Жаккара (J×100): J = 69-88) во времени и зафиксированы более значительные изменения видового состава микоризообразователей (J = 32-52). Продуктивность эктомикоризных грибов в исследуемых ценозах различается по годам и периодам наблюдений. Наибольшее число базидиом зафиксировано для ельника кисличного, а их наибольшая биомасса - для ельника приручьевого. Для биоты микоризообразователей как по числу (индекс Шеннона: H = 1.27), так и по биомассе (H = 1.54) базидиом за все периоды наблюдений более благоприятным являлся ельник приручьевой. Установлено, что повышение средней месячной температуры воздуха в июне благоприятствует «плодоношению» микоризообразователей в августе в ельнике кисличном (rs = 0.67; p <0.05).
Исследовано состояние генофондов 11 популяций сосны обыкновенной (Pinus sylvestris L.) на Урале и прилегающих территориях с использованием двух типов высокополиморфных молекулярных маркеров. Анализ полиморфизма межмикросателлитных маркеров показал средний уровень генетического разнообразия вида (P95 = 1.000; I = 0.224; HE = 0.130; ne= 1.319). Анализ полиморфизма нуклеотидных последовательностей трех потенциально адаптивных локусов P. sylvestris выявил гаплотипическое разнообразие (Hd), равное 0.662, а нуклеотидное разнообразие (π) составило 0.004. Тест Таджимы показал наличие отклонений от нейтральности для локуса Pinus-12 (DT = -2.615), что указывает на возможное влияние селективных процессов. Наибольшим генетическим разнообразием обладает популяция из Чердынского (Ps_Ch) р-на (P95 = 0.970; I = 0.264; HE = 0.167; Hd = 0.661), а наименьшим - популяция из Мечетлинского (Ps_Mh) р-на (P95 = 0.853; I = 0.144; HE = 0.089; Hd = 0.650). Выявлены популяции с типичными (КГО <1.000) и со специфическими (КГО >1.000) генофондами. Установлено, что у 7 изученных популяций P. sylvestris состояние генофондов удовлетворительное, а у 4 популяций наблюдается обеднение генофондов. Представленный подход позволяет выявить ключевые особенности их генофондов, необходимых для разработки мероприятий по сохранению и восстановлению генетических ресурсов сосны обыкновенной.
Отрасль птицеводства, обеспечивающая население ценным белком животного происхождения, на сегодняшний день практически полностью зависит от закупки зарубежных кроссов. В связи с этим особое внимание необходимо уделить отечественному птицеводству и имеющимся генетическим ресурсам. Экстерьерная оценка является важным элементом в селекции, т. к. внешний вид позволяет судить о здоровье, породной принадлежности, предрасположенности к продуктивному использованию и приспособленности животного к условиям содержания. Тем не менее, темп селекции зависит от использования как фенотипических, так и генетических данных о животных. Особое внимание в последнее время уделяется GWAS-исследованиям - полногеномному поиску ассоциаций, который позволяет выявить участки генома, предположительно ответственные за проявление того или иного признака. Целью данного исследования было выявить генетические ассоциации с экстерьером у царскосельской породы кур. Для этого была проведена экстерьерная оценка птиц (n = 96), отбор крови и выделение ДНК, а также полногеномное генотипирование при помощи чипа средней плотности Illumina Chicken 60K SNP iSelectBeadChip (Illumina Inc., США). На основании данных полногеномного генотипирования было проведено GWAS-исследование и аннотирование кандидатных генов. В результате было получено 6 предположительно значимых SNP, ассоциированных с обхватом груди, длиной голени, длиной плюсны, а также с углом груди. Бо́льшая часть генов в идентифицированных локусах была вовлечена в процессы костеобразования и костного гомеостаза, которые косвенно регулируют биологический потенциал особи к росту. Выявленные гены-кандидаты могут быть рекомендованы к использованию в маркерной селекции для царскосельской породы кур. Для подтверждения фундаментальной роли выявленных генов в формировании генетического потенциала размерно-весовых характеристик необходимы исследования и на других породах птиц.
Среди множества причин женского бесплодия выделяют особенности состава «нормального» микробиома, характеризующегося: межвидовыми изменениями соотношения представителей рода Lactobacillus; количественным дисбалансом лактобактерий с представителями других видов микроорганизмов, содержащихся во влагалище и в матке; воспалительными заболеваниями органов малого таза; тенденцией к образованию биопленок, способствующих прогрессированию антибиотикорезистентности, и т. д. Органы малого таза содержат свой собственный типичный микробиом, который составляет 9% общей популяции бактерий у женщин. Среди спектра видов микроорганизмов в женском половом тракте в основном доминируют виды Lactobacillus, которые считаются одними из самых важных микроорганизмов. Хотя существование вагинального микробиома было давно установлено, верхний отдел репродуктивного тракта считался стерильной средой, с предположением, что присутствие бактерий связано с неблагоприятными клиническими проявлениями. Однако современные исследования выявили определенные закономерности микробиома, колонизирующего матку, эндометрий, фаллопиевы трубы, яичники и плаценту. Бактериальная колонизация этих участков отличается от вагинальной, несмотря на доказательства того, что вагинальные бактерии могут подниматься в верхние половые пути через шейку матки. В обзоре представлены систематизированные научные данные о микробиоме нижнего и верхнего отделов репродуктивного тракта женщин. Рассмотрены вопросы влияния микробиома органов малого таза на репродуктивное здоровье женщины. Обоснована целесообразность оценки состояния микробиома органов малого таза на всех этапах мониторинга здоровья женщины в системе гинекологических учреждений, которая может стать полезным инструментом скрининга успешной репродуктивной функции.
Проведена оценка in vitro антимикробной активности этанольных экстрактов плодов Daucus carota subsp. carota (морковь дикая) и Daucus carota subsp. sativus (морковь посевная) в отношении 5 клинически значимых штаммов бактерий: Acinetobacter sp. 12/19, Escherichia coli 83, Streptococcus pneumoniae UEV, Staphylococcus aureus MP1989 и Enterococcus faecalis 26. Антимикробную активность определяли методом серийных разведений с последующим установлением минимальной подавляющей концентрации (МПК₅₀), вызывающей 50% ингибирование роста исследуемых культур. Результаты продемонстрировали выраженную антимикробную активность исследуемых экстрактов. Этанольный экстракт плодов моркови дикой показал более высокую антимикробную активность по сравнению с экстрактом моркови посевной. В частности, в отношении Acinetobacter sp. 12/19 экстракт из плодов моркови дикой проявил бактериостатическое действие при концентрациях, начиная с 2.0 мкг/мл. В отношении E. coli 83 оба экстракта продемонстрировали сопоставимую антибактериальную активность, с МПК₅₀ на уровне 2.0 мкг/мл. В отношении S. pneumoniae UEV оба экстракта демонстрировали сопоставимый уровень подавления роста во всем диапазоне исследованных концентраций, при этом процент ингибирования варьировал от 86 (при низкой концентрации) до 93% (при высокой концентрации). В отношении S. aureus MP1989 оба экстракта проявили бактериостатическую активность в диапазоне концентраций 2.0-135 мкг/мл, с процентом ингибирования от 32.8 до 95.7% для экстракта D. carota subsp. carota и от 49.9 до 92.8% для экстракта D. carota subsp. sativus. В отношении E. faecalis 26 исследуемые экстракты уступали по активности цефтриаксону, однако проявили выраженное бактериостатическое действие, с процентом ингибирования от 69.0 до 96% в диапазоне концентраций 8.0-67.0 мкг/мл. Полученные результаты свидетельствуют о перспективности дальнейшего изучения фитохимического состава и антимикробного потенциала экстрактов плодов Daucus carota с целью разработки новых антимикробных средств.
Выполнено моделирование трёхмерной структуры α-субъединицы бифенил диоксигеназы (BphA1) штамма Rhodococcus wratislaviensis CH628 с использованием программ MODELLER, AlphaFold и trRosetta. Нуклеотидная последовательность гена bphA установлена при анализе полногеномной последовательности штамма в системе RAST. Филогенетический анализ bphAСН628 показал высокую степень сходства с α-субъединицей нафталин диоксигеназы (narA). Для оценки качества полученных моделей использовались программы ERRAT, VERIFY3D и PROCHECK. Модель BphA1СН628, построенная с помощью MODELLER, продемонстрировала наивысшую структурную точность, в то время как модель BphA1СН628 AlphaFold лучше предсказала активный центр фермента. Анализ активного центра показал консервативность ключевых аминокислот, участвующих в катализе, что подтверждает функциональную схожесть с нафталин диоксигеназой. Полученные результаты открывают перспективы для дальнейшего исследования BphA1 в контексте его применения в биоремедиации.
Торфяные грязи (пелоиды) представляют собой природные органоминеральные комплексы, образованные при разложении органических остатков в болотистой местности в условиях недостатка кислорода. Они обладают высокой теплоемкостью и содержат биологически активные вещества (соли, газы, биостимуляторы, метаболиты организмов и пр.), а также живые микроорганизмы. Однако микробный состав пелоидов практически не изучен. Цель работы заключалась в анализе микробного состава торфяных пелоидов месторождения Таборли-3 (Республика Татарстан) согласно санитарно- бактериологическим характеристикам, спектру культивируемых микроорганизмов, молекулярно- генетическому определению прокариотического метагенома и его функционального потенциала. В течение 2021-2023 гг. изучены 7 образцов таборлинских пелоидов. Санитарно-бактериологический анализ осуществляли согласно программе производственного контроля санаториев, применяющих данную грязь. Таксономическую идентификацию выделенных культур микроорганизмов проводили методом времяпролетной масс-спектрометрии с матрично-активированной лазерной десорбцией/ионизацией MALDI-TOF MS. Молекулярно-генетический анализ сообщества микроорганизмов выполняли секвенированием 16S рРНК с помощью Illumina MiSeq, дальнейщий анализ последовательностей проводили с использованием пакета программного обеспечения Mothur на платформе Galaxy. Охарактеризованы бактериальные сообщества пелоидов, в которых преобладали представители филумов Firmicutes (22%) и Proteobacteria (36%). На уровне семейств доминировали Streptococcaceae, Ruminicoccaceace, Lactobacillaceae, Comamondaceae и Sphingomonadaceae. Функциональный потенциал сообществ подтверждает, что бактерии пелоидов содержат основные гены метаболизма углеводов, липидов, витаминов, аминокислот и нуклеотидов, а также способны утилизировать ксенобиотики. Впервые охарактеризован микробиом лечебных грязей месторождения Таборли-3. Мониторинг состава микробных сообществ лечебных грязей является важной составляющей для оценки вклада микроорганизмов и их метаболитов в оздоровительный эффект пелоидотерапии.
Представлены результаты изучения строения мужской и женской генеративных сфер колокольчика чесночницелистного Campanula alliariifolia Willd. (сем. Campanulaceae). Растительный материал для изучения процессов развития микро- и мегаспорангиев собирали на берегу реки Фиагдон в Куртатинском ущелье (Северная Осетия), а также в районе г. Гагра (Абхазия). Установлено, что тип формирования стенки микроспорангия центробежный, тапетум является результатом развития первичного париетального слоя. Сформированная стенка микроспорангия состоит из эпидермы, эндотеция, одного, изредка двух средних слоев и секреторного тапетума. Стенка зрелого пыльника представлена сплющенными клетками эпидермиса и эндотеция с фиброзными утолщениями. Тетрады микроспор образуются симультанно. Зрелые пыльцевые зерна 2-клеточные, 3-поровые, 4-поровые, изредка даже 5-поровые. Гинецей представлен множеством анатропных, унитегмальных, медионуцеллятных, фуникулярных семязачатков. Развивается интегументальный тапетум, доходящий до уровня апекса яйцеклетки и охватывающий примерно ¾ зародышевого мешка. В результате мейоза образуется линейная тетрада мегаспор, халазальная из которых развивается в зародышевый мешок. Зародышевый мешок удлиненный, микропиле длинное, узкое, прямое. У основания зародышевого мешка формируются постамент и подиум. Незначительное число аномалий в развитии мужских и женских элементов позволяет предположить возможность формирования полноценных семян.
На основе палеоэкологических методов изучения торфяных отложений и радиоуглеродного датирования рассмотрены этапы развития болот в Северном Зауралье в голоцене. Проведенные исследования позволили детально реконструировать историю развития болотной растительности в Северном Зауралье, выявить катастрофические события, которые привели к смене растительных сообществ на болотах и увязать их со временем. В качестве объектов исследования выбрано 3 болотных массива: Троицкий, Большой сосновый и торфяное обнажение Хорпия в долине р. Лозьвы. Показано, что процессы заболачивания в Северном Зауралье начинались в разное время. На торфянике Троицкий торфонакопление началось около 8.0 тыс. лет назад, в Большом Сосновом - около 5.7 тыс. лет назад, в пойме р. Лозьвы (участок Хорпия) - около 5.4 тыс. лет назад. Основными путями заболачивания можно считать суходольное заболачивание лесов в понижениях рельефа и заболачивание послеледниковых озер. При заболачивании озер (Большое сосновое и Троицкое) торфообразование начинается с переходной стадии, с зарастания мелководий пушицей и сфагновыми мхами. При заболачивании елового леса в условиях застойного переувлажнения (торфяник Хорпия) торфообразование начинается с накопления древесного торфа. Этапы развития растительного покрова болот обусловлены климатическими изменениями. В теплые, сухие периоды на болотах развивается древесная растительность. В период похолодания и промерзания торфяников древесные растения исчезают, взамен начинается экспансия сфагновых олиготрофных мхов.
Статистика статьи
Статистика просмотров за 2025 год.
Издательство
- Издательство
- ПГНИУ
- Регион
- Россия, Пермь
- Почтовый адрес
- 614068, Пермский край, г. Пермь, ул. Букирева, 15
- Юр. адрес
- 614068, Пермский край, г. Пермь, ул. Букирева, 15
- ФИО
- Германов Игорь Анатольевич (И.о. ректора)
- E-mail адрес
- rector@psu.ru
- Контактный телефон
- +7 (342) 2396326
- Сайт
- http://www.psu.ru